forum.boolean.name

forum.boolean.name (http://forum.boolean.name/index.php)
-   Загадки (http://forum.boolean.name/forumdisplay.php?f=87)
-   -   ЕГЭ цистерны и бидоны (http://forum.boolean.name/showthread.php?t=17065)

impersonalis 22.07.2012 19:29

ЕГЭ цистерны и бидоны
 
Вступление

Недавно alex-mad рассказал задачу (из образцов ЕГЭ):
Цитата:

В цилиндрический сосуд радиуса R1 наливают некоторый объём жидкости. Уровень жидкости (высота) = H1. Затем это объём переливают в сосуд с радиусом R2=2*R1. Как изменится высота жидкости?
Сама задача элементарна. Закономерность, лежащая в основе, многократно обыграна (см., например, "The Canterbury puzles and other curious problems" Henry E. Dudeney).
v1=v2; v=pi*(r^2)*h;
pi*h1*(r^2)=pi*h2*((2*r)^2)
h1*r^2=h2*4*r^2
h1=4*h2
Ответ: высота уменьшится в 4 раза.

alex-mad так же заметил, что в задаче подразумевается, но не указана явно ориентация сосуда (а-ля бидон). Действительно, если представить сосуд а-ля ж\д цистерна, то задача становится менее унылой. Мы быстренько прикинули решение.
Предлагаю вам попробовать:

Задача

В цистерну, поперечное сечение которой представляет собой окружность с радиусом R1, наливают некоторый объём жидкости. Жидкость занимает уровень H1 (измеренный от самой низкорасположенной точки цистерны). Затем этот объём переливают в цистерну с радиусом сечения R2=2*R1. Какой уровень H2 займёт жидкость в новой ёмкости? Считается, что вместимость "новой" цистерны позволяет принять данный объём жидкости.

jimon 22.07.2012 20:29

Ответ: ЕГЭ цистерны и бидоны
 
аналитическая часть решения


высота сегмента с углом a, h = r(1-cos(a/2))
площадь сегмента с углом a, s = (r^2(a - sin(a)))/2

1) v1 = v2

2) l * s1 = l * s2 (l - длина цистерн, считаем равной)

3) (r^2(a - sin(a)))/2 = (4*r^2(a2 - sin(a2)))/2

4) (a2 - sin(a2)) = 4 * (a - sin(a))



численная часть решения :


5) a2 = a * k ? :crazy:

судя по этому
http://www.wolframalpha.com/input/?i...%28y%29++wrt+y

a2 ~= a * 0.7

6) h2 / h1 = 2r(1-cos(a2/2)) / r(1-cos(a/2))

7) h2 / h1 = 2(1-cos(a*0.7/2)) / (1-cos(a/2))

http://www.wolframalpha.com/input/?i...%28a%2F2%29%29

зависимость не такая простая если честно, что и логично



ps. а вот нефиг давать задачу на R2 = 2 * R1 если результат зависит от абсолютного значения R1

Taugeshtu 22.07.2012 20:37

Ответ: ЕГЭ цистерны и бидоны
 
Ещё можно припомнить, что в задачке не указано, одинакова ли длина цистерн. Если нет - то ещё веселее.

impersonalis 22.07.2012 20:59

Ответ: ЕГЭ цистерны и бидоны
 
Цитата:

Сообщение от jimon (Сообщение 233810)

ps. а вот нефиг давать задачу на R2 = 2 * R1 если результат зависит от абсолютного значения R1

Никто не говорил, что нельзя использовать конструкции if (кусочно-заданная функция)

Цитата:

Сообщение от Taugeshtu (Сообщение 233811)
Ещё можно припомнить, что в задачке не указано, одинакова ли длина цистерн. Если нет - то ещё веселее.

Действительно - моя ошибка. Длины одинаковы

jimon 22.07.2012 21:36

Ответ: ЕГЭ цистерны и бидоны
 
Цитата:

Сообщение от impersonalis (Сообщение 233813)
Никто не говорил, что нельзя использовать конструкции if (кусочно-заданная функция)

судя по всему там выходят совсем не линейные зависимости отношения h2\h1 от абсолютной величины изначального радиуса :crazy: (те еще одна степень свободы системы)

impersonalis 22.07.2012 21:39

Ответ: ЕГЭ цистерны и бидоны
 
Вложений: 2
Цитата:

Сообщение от jimon (Сообщение 233818)
судя по всему там выходят совсем не линейные зависимости отношения h2\h1 от абсолютной величины изначального радиуса :crazy:

в точку.

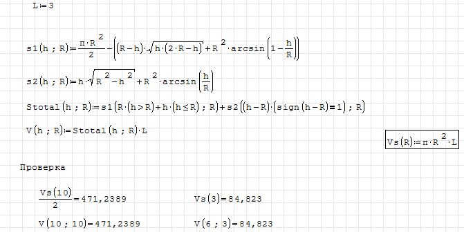
Вот какую связь между объёмом, радиусом и высотой жидкости (L=const) я вывел (в записи я использовал жаргонизм в виде type cast "bool->int", но CAS его слопал):
Вложение 17215
в SMathStudio
Вложение 17217

Я сильно сомневаюсь, что задачу можно решить аналитически в таком виде.

radiobutton 28.07.2012 02:54

Ответ: ЕГЭ цистерны и бидоны
 
извените за тупость, а что изменилось в задаче ? xD

den 28.07.2012 11:32

Ответ: ЕГЭ цистерны и бидоны
 
Цитата:

Сообщение от radiobutton (Сообщение 234544)
извените за тупость, а что изменилось в задаче ? xD

условие

FireOwl 28.07.2012 15:18

Ответ: ЕГЭ цистерны и бидоны
 
"Бидон" - вертикальный цилиндр.
"Цистерна" - цилиндр лежащий на боку.


Часовой пояс GMT +4, время: 22:48.

vBulletin® Version 3.6.5.
Copyright ©2000 - 2026, Jelsoft Enterprises Ltd.
Перевод: zCarot