Показать сообщение отдельно
Старый 24.01.2010, 19:37   #16
impersonalis
Зануда с интернетом
 
Аватар для impersonalis
 
Регистрация: 04.09.2005
Сообщений: 14,014
Написано 6,798 полезных сообщений
(для 20,935 пользователей)
Ответ: Помогите решить задачку

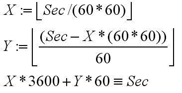
Тождество верно, если Sec целое
Миниатюры
Нажмите на изображение для увеличения
Название: злоба.jpg
Просмотров: 953
Размер:	11.8 Кб
ID:	8877  
__________________
http://nabatchikov.com
Мир нужно делать лучше и чище. Иначе, зачем мы живем? tormoz
А я растила сына на преданьях
о принцах, троллях, потайных свиданьях,
погонях, похищениях невест.
Да кто же знал, что сказка душу съест?
(Offline)
 
Ответить с цитированием