forum.boolean.name

forum.boolean.name (http://forum.boolean.name/index.php)
-   Математика (http://forum.boolean.name/forumdisplay.php?f=85)
-   -   Wolfram Mathematica (http://forum.boolean.name/showthread.php?t=17599)

ViNT 07.12.2012 15:35

Wolfram Mathematica
 
Вложений: 2
Кто-нибудь разбирается в сабже?
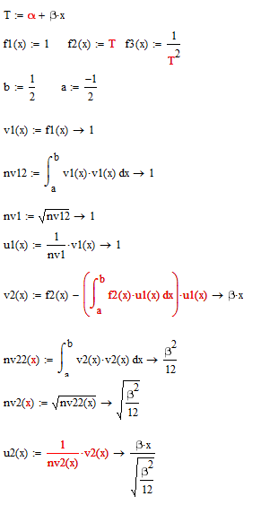
Есть последовательность вычислений в MathCad
Вложение 18247
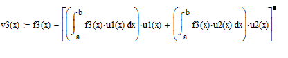
Все прекрасно считается, результаты получаются верные, но при дальнейших вычислениях
Вложение 18248
маткад надолго зависает. Дальше только хуже, в конце концов, символическое вычисление и вовсе перестает работать, выдавая исходное выражение.

В общем, посоветовали использовать этот самый вольфрам. Но сколько я не пытался понять, как реализовать подобные вычисления без ручной подстановки промежуточных результатов, так и не получилось.

Собственно вопрос - можно ли реализовать описанную выше последовательность вычислений, желательно именно в таком виде, если можно, то как?


Часовой пояс GMT +4, время: 18:18.

vBulletin® Version 3.6.5.
Copyright ©2000 - 2026, Jelsoft Enterprises Ltd.
Перевод: zCarot