Кто-нибудь разбирается в сабже?
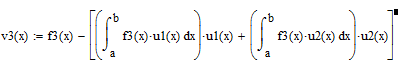
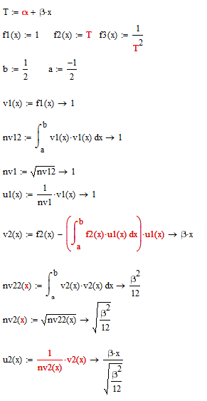
Есть последовательность вычислений в MathCad

Все прекрасно считается, результаты получаются верные, но при дальнейших вычислениях

маткад надолго зависает. Дальше только хуже, в конце концов, символическое вычисление и вовсе перестает работать, выдавая исходное выражение.
В общем, посоветовали использовать этот самый вольфрам. Но сколько я не пытался понять, как реализовать подобные вычисления
без ручной подстановки промежуточных результатов, так и не получилось.
Собственно вопрос - можно ли реализовать описанную выше последовательность вычислений, желательно именно в таком виде, если можно, то как?