 |
| Болтовня Разговоры на любые темы (думайте, о чем пишите) |
25.05.2014, 18:22
|
#1
|
|
Бывалый
Регистрация: 26.04.2009
Адрес: Россия, Уфа
Сообщений: 680
Написано 182 полезных сообщений (для 406 пользователей)
|
Курсача тред
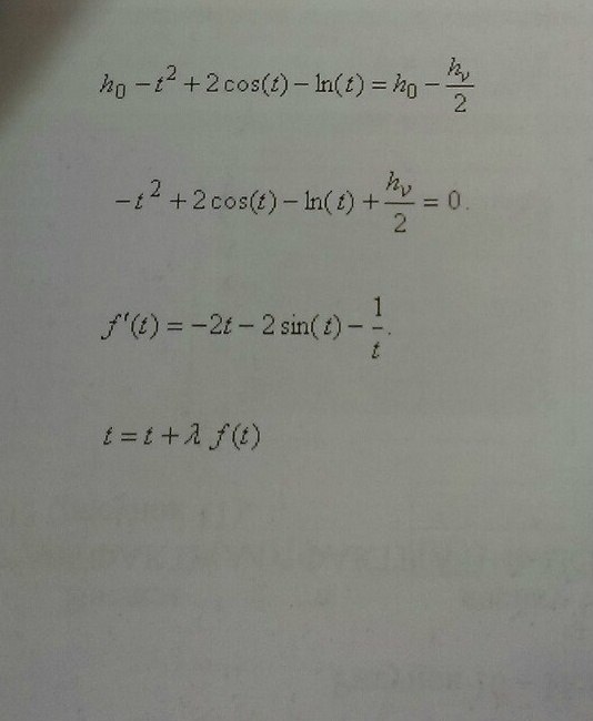
Дорогие булошники, я уже устал пытаться понять дурной метод итераций.
Как из функции на картинке найти фи, не подскажете ли?
(пишем курсач на VB.net)

|
|
(Offline)
|
|
25.05.2014, 18:33
|
#2
|
|
Ференька
Регистрация: 26.01.2007
Адрес: улица Пушкина дом Колотушкина
Сообщений: 10,743
Написано 5,461 полезных сообщений (для 15,676 пользователей)
|
Ответ: Курсача тред
А где там фи-то?
__________________
Мои проекты:
Анальное Рабство
Зелёный Слоник
Дмитрий Маслов*
Различие**
Клюква**
* — в стадии разработки
** — в стадии проектирования
Для проектов в стадии проектирования приведены кодовые имена
|
|
(Offline)
|
|
25.05.2014, 18:38
|
#3
|
|
Бывалый
Регистрация: 26.04.2009
Адрес: Россия, Уфа
Сообщений: 680
Написано 182 полезных сообщений (для 406 пользователей)
|
Ответ: Курсача тред
Сообщение от ABTOMAT
А где там фи-то?
|
в методе итераций, нужно найти фи, чтобы считать.
|
|
(Offline)
|
|
25.05.2014, 19:44
|
#4
|
|
Ференька
Регистрация: 26.01.2007
Адрес: улица Пушкина дом Колотушкина
Сообщений: 10,743
Написано 5,461 полезных сообщений (для 15,676 пользователей)
|
Ответ: Курсача тред
Сообщение от Program23
в методе итераций, нужно найти фи, чтобы считать.
|
В таком случае эту фи придумал дядя Вася, который писал задание (равно как и все остальные обозначения). Ищи методичку или конспект у кого-нибудь бери, больше нигде это не узнать.
См. PDF стр. 8
У нас под методом итераций понималось вот что: разбить выражение на два и искать точку их пересечения. В таком случае эти две части обозначались как фи и пси. Может быть, это то, что тебе надо, хотя, скорее всего в каждом универе выдумывают свои обозначения и даже часто называют одним названием разные вещи, так что советую всё же поискать методу/конспект у себя.
__________________
Мои проекты:
Анальное Рабство
Зелёный Слоник
Дмитрий Маслов*
Различие**
Клюква**
* — в стадии разработки
** — в стадии проектирования
Для проектов в стадии проектирования приведены кодовые имена
|
|
(Offline)
|
|
|
Эти 3 пользователя(ей) сказали Спасибо ABTOMAT за это полезное сообщение:
|
|
26.05.2014, 00:15
|
#5
|
|
Элита
Регистрация: 21.01.2010
Адрес: Россия, Рязанская область, г.Михайлов
Сообщений: 2,067
Написано 1,185 полезных сообщений (для 2,828 пользователей)
|
Ответ: Курсача тред
Блиииин, я думал у меня одного листы задания до курсовой в таком виде доживают
__________________
Main PC:
Intel Core i5 4260U 1.44 GHz + LPDDR3 1x4096 1600 MHz + Intel HD Graphics 5000.
Asus Ёжик T101-MT:
Intel Atom N-570 1.66 Ghz + DDR2 2x1024 800 Mhz + Intel GMA 3150 128 Mb DDR2
Скачать Doom 2D: Remake v0.3.8a
|
|
(Offline)
|
|
|
Сообщение было полезно следующим пользователям:
|
|
26.05.2014, 00:33
|
#6
|
|
[object Object]
Регистрация: 01.08.2008
Адрес: В России
Сообщений: 4,374
Написано 2,478 полезных сообщений (для 6,866 пользователей)
|
Ответ: Курсача тред
|
Скрытый текст (вы должны войти под своим логином или зарегистрироваться и иметь 1 сообщение(ий)):
У вас нет прав, чтобы видеть скрытый текст, содержащийся здесь.
|
__________________
Retry, Abort, Ignore? █
Intel Core i7-9700 4.70 Ghz; 64Gb; Nvidia RTX 4090 3070
AMD Ryzen 7 3800X 4.3Ghz; 64Gb; Nvidia 1070Ti
AMD Ryzen 7 1700X 3.4Ghz; 8Gb; AMD RX 570
AMD Athlon II 2.6Ghz; 8Gb; Nvidia GTX 750 Ti
|
|
(Offline)
|
|
26.05.2014, 01:27
|
#7
|
|
Мастер
Регистрация: 24.06.2009
Адрес: Набережные Челны
Сообщений: 930
Написано 292 полезных сообщений (для 504 пользователей)
|
Ответ: Курсача тред
Сообщение от Randomize
|
ХАКЕР!
Сообщение от Randomize
Там на бумажке в оп-посте фио написаны
|
знаю
позаимствовал со страницы: подписки на некоторые группы
|
|
(Offline)
|
|
26.05.2014, 01:33
|
#8
|
|
[object Object]
Регистрация: 01.08.2008
Адрес: В России
Сообщений: 4,374
Написано 2,478 полезных сообщений (для 6,866 пользователей)
|
Ответ: Курсача тред
Сообщение от LLI.T.A.L.K.E.R.
ХАКЕР! 
|
Та на бумажке в оп-посте фио написаны
__________________
Retry, Abort, Ignore? █
Intel Core i7-9700 4.70 Ghz; 64Gb; Nvidia RTX 4090 3070
AMD Ryzen 7 3800X 4.3Ghz; 64Gb; Nvidia 1070Ti
AMD Ryzen 7 1700X 3.4Ghz; 8Gb; AMD RX 570
AMD Athlon II 2.6Ghz; 8Gb; Nvidia GTX 750 Ti
|
|
(Offline)
|
|
|
Сообщение было полезно следующим пользователям:
|
|
26.05.2014, 03:21
|
#9
|
|
Зануда с интернетом
Регистрация: 04.09.2005
Сообщений: 14,014
Написано 6,798 полезных сообщений (для 20,935 пользователей)
|
Ответ: Курсача тред
Ну хоть Scilab преподают (заставляют учить)!
__________________
http://nabatchikov.com
Мир нужно делать лучше и чище. Иначе, зачем мы живем? tormoz
А я растила сына на преданьях
о принцах, троллях, потайных свиданьях,
погонях, похищениях невест.
Да кто же знал, что сказка душу съест?
|
|
(Offline)
|
|
26.05.2014, 03:49
|
#10
|
|
Ференька
Регистрация: 26.01.2007
Адрес: улица Пушкина дом Колотушкина
Сообщений: 10,743
Написано 5,461 полезных сообщений (для 15,676 пользователей)
|
Ответ: Курсача тред
Сообщение от impersonalis
Ну хоть Scilab преподают (заставляют учить)!
|
Меня больше напрягает, что в каждом универе каждый Дядя Вася придумывает заново свои обозначения так, что два человека из разных универов друг друга без поллитры не поймут.
А ещё блин задания в основном несложные, но ТУПЫЕ. Придумывается типовая задача (может быть, и не очень тривиальная), а потом на парах разжёвывается единственно верный способ решения. То есть человек с улицы, может, с ходу и не решит эту задачу, но вот с волшебным методом решения (который обычно, но не всегда изложен в методичке) с этим справится в принципе любой желающий. Главное, что со стороны это выглядит (и называется) ну очень по-умному. Потому что если препод не разжуёт на парах/в методичке, то никто вовремя не сдаст и все будут ходить к нему до февраля (октября), а такого добра никому не надо (бывают исключения, но они лишь подтверждают правило). Поэтому задания тупые настолько, чтобы даже самый тупой (но упорный) студент смог справиться. Зато задания принято "утяжелять" рутиной, чтобы жизнь мёдом не казалась. Ну, например, на первых курсах на лабах заставляли ещё выводить формулу погрешности со всякими там вонючими производными, хотя на старших курсах на это клался болт (и правильно, если она 100 лет как известна, зачем каждый раз делать заново?). Или измерительный прибор, работающий под управлением самодельной на Delphi проги, написанной ещё в прошлом веке под Windows 95 выдаёт данные в очень голимом формате и крашится каждые пять минут. Чтобы произвести вычисления, нужно вначале весьма извернуться с данными (вообще предполагалось, что студенты будут вручную переделывать, специальность не IT'шная, а инженерная, но я в тот раз всё же сделал себе прогу, которая делает как надо, но суть в том, что это было трудоёмкое действие, не относящееся к делу). Ну, или там, нужно произвести тыщщу измерений на аналоговом приборе, хотя давно уже есть аппараты, позволяющие всё то же самое сделать за секунду (напр. ручной монохроматор -> спектрометр, на первом 2.5 часа снимать спектр, на втором 1 сек и сразу на комп записывается для дальнейшей обработки). Главное студентов делом занять, чтоб никто не бездельничал. В итоге универ обучает решать набор типовых задач, которые были придуманы в нём же и более нигде в природе не встречаются. А потом такой человек идёт на работу...
__________________
Мои проекты:
Анальное Рабство
Зелёный Слоник
Дмитрий Маслов*
Различие**
Клюква**
* — в стадии разработки
** — в стадии проектирования
Для проектов в стадии проектирования приведены кодовые имена
|
|
(Offline)
|
|
|
Эти 4 пользователя(ей) сказали Спасибо ABTOMAT за это полезное сообщение:
|
|
26.05.2014, 11:37
|
#11
|
|
Зануда с интернетом
Регистрация: 04.09.2005
Сообщений: 14,014
Написано 6,798 полезных сообщений (для 20,935 пользователей)
|
Ответ: Курсача тред
+1. В своё время даже выписал себе (чтобы следовать, насколько смогу)
|
Самая большая опасность для преподавателя — учить словам, а не вещам.
|
Марк Блок.
__________________
http://nabatchikov.com
Мир нужно делать лучше и чище. Иначе, зачем мы живем? tormoz
А я растила сына на преданьях
о принцах, троллях, потайных свиданьях,
погонях, похищениях невест.
Да кто же знал, что сказка душу съест?
|
|
(Offline)
|
|
|
Сообщение было полезно следующим пользователям:
|
|
26.05.2014, 13:20
|
#12
|
|
Ференька
Регистрация: 26.01.2007
Адрес: улица Пушкина дом Колотушкина
Сообщений: 10,743
Написано 5,461 полезных сообщений (для 15,676 пользователей)
|
Ответ: Курсача тред
Вот ещё: в методичке зачастую простые действия описаны ну очень запутанно, порой даже кажется, что это сделано специально как часть "утяжеления рутиной": на расшифровку того, что хотел сказать автор и перевод с русского на русский может уйти значительная часть времени. В-общем, бОльшую часть времени приходится заниматься не делом.
__________________
Мои проекты:
Анальное Рабство
Зелёный Слоник
Дмитрий Маслов*
Различие**
Клюква**
* — в стадии разработки
** — в стадии проектирования
Для проектов в стадии проектирования приведены кодовые имена
|
|
(Offline)
|
|
|
Эти 2 пользователя(ей) сказали Спасибо ABTOMAT за это полезное сообщение:
|
|
26.05.2014, 23:17
|
#13
|
|
Бывалый
Регистрация: 26.04.2009
Адрес: Россия, Уфа
Сообщений: 680
Написано 182 полезных сообщений (для 406 пользователей)
|
Ответ: Курсача тред

Сообщение от ABTOMAT
Меня больше напрягает, что в каждом универе каждый Дядя Вася придумывает заново свои обозначения так, что два человека из разных универов друг друга без поллитры не поймут.
А ещё блин задания в основном несложные, но ТУПЫЕ. Придумывается типовая задача (может быть, и не очень тривиальная), а потом на парах разжёвывается единственно верный способ решения. То есть человек с улицы, может, с ходу и не решит эту задачу, но вот с волшебным методом решения (который обычно, но не всегда изложен в методичке) с этим справится в принципе любой желающий. Главное, что со стороны это выглядит (и называется) ну очень по-умному. Потому что если препод не разжуёт на парах/в методичке, то никто вовремя не сдаст и все будут ходить к нему до февраля (октября), а такого добра никому не надо (бывают исключения, но они лишь подтверждают правило). Поэтому задания тупые настолько, чтобы даже самый тупой (но упорный) студент смог справиться. Зато задания принято "утяжелять" рутиной, чтобы жизнь мёдом не казалась. Ну, например, на первых курсах на лабах заставляли ещё выводить формулу погрешности со всякими там вонючими производными, хотя на старших курсах на это клался болт (и правильно, если она 100 лет как известна, зачем каждый раз делать заново?). Или измерительный прибор, работающий под управлением самодельной на Delphi проги, написанной ещё в прошлом веке под Windows 95 выдаёт данные в очень голимом формате и крашится каждые пять минут. Чтобы произвести вычисления, нужно вначале весьма извернуться с данными (вообще предполагалось, что студенты будут вручную переделывать, специальность не IT'шная, а инженерная, но я в тот раз всё же сделал себе прогу, которая делает как надо, но суть в том, что это было трудоёмкое действие, не относящееся к делу). Ну, или там, нужно произвести тыщщу измерений на аналоговом приборе, хотя давно уже есть аппараты, позволяющие всё то же самое сделать за секунду (напр. ручной монохроматор -> спектрометр, на первом 2.5 часа снимать спектр, на втором 1 сек и сразу на комп записывается для дальнейшей обработки). Главное студентов делом занять, чтоб никто не бездельничал. В итоге универ обучает решать набор типовых задач, которые были придуманы в нём же и более нигде в природе не встречаются. А потом такой человек идёт на работу...
|
Да, оказывается там вручную нужно еще много чего вычислять. Я кое-как поймал препода для консультации и в итоге получил от нее этот непонятный бред.
|
|
(Offline)
|
|
27.05.2014, 21:47
|
#14
|
|
Ференька
Регистрация: 26.01.2007
Адрес: улица Пушкина дом Колотушкина
Сообщений: 10,743
Написано 5,461 полезных сообщений (для 15,676 пользователей)
|
Ответ: Курсача тред
А пояснения какие-то есть к этим формулам? Есть возможность взять решённый другой вариант задания (у более расторопных одногруппников)?
__________________
Мои проекты:
Анальное Рабство
Зелёный Слоник
Дмитрий Маслов*
Различие**
Клюква**
* — в стадии разработки
** — в стадии проектирования
Для проектов в стадии проектирования приведены кодовые имена
|
|
(Offline)
|
|
Ваши права в разделе
|
Вы не можете создавать темы
Вы не можете отвечать на сообщения
Вы не можете прикреплять файлы
Вы не можете редактировать сообщения
HTML код Выкл.
|
|
|
Часовой пояс GMT +4, время: 21:32.
|