Извините, ничего не найдено.

Не расстраивайся! Лучше выпей чайку!
Регистрация
Справка
Календарь

Вернуться   forum.boolean.name > Программирование в широком смысле слова > Математика

Математика Методы математического моделлирования, программирование математических концепций, роль математики в создании игр

Ответ
 
Опции темы
Старый 10.06.2009, 18:42   #1
impersonalis
Зануда с интернетом
 
Аватар для impersonalis
 
Регистрация: 04.09.2005
Сообщений: 14,014
Написано 6,798 полезных сообщений
(для 20,935 пользователей)
ТеорВер

Готовился я на неделе к экзамену по дисциплине Надёжность Информационно-Управляющих Систем («НИУС», «Надёжность»).
Дошёл черёд до вопроса: «Выражение показателей надёжности в случае экспоненциального распределения».
Итак:



Открываем первый же линк:



«вероятность безотказной работы как функция времени» - не что иное как: «функция распределения вероятности безотказной работы». Почему данная формула отличается от канонического вида, автор объяснить постеснялся, а потом, вероятно и сам забыл. Забыл, но делать-то что-то надо, поэтому «среднее время безотказной работы» (которое не что иное как «математическое ожидание времени отказа») автор считает по непонятной формуле: площадь фигуры, ограниченной сверху функцией распределения вероятности безотказной работы. Мало того, что данная формула неверна, давайте попробуем решить предложенный автором интерграл на «МатКАД-е»:



Очевидно, что экспонента превратится на бесконечности в ноль, т.е. ответ вроде бы верный.
Начнём с того, что формула неверна – мат. ожидание считается так:



fx – дифференциальная функция распределения, или плотность распределения. Находится как производная от функции распределения, пробуем:



Напоминаю: величина лямбда – положительная константа, а время (по логике задачи) не может быть меньше нуля, т.о. мы получаем отрицательную плотность умноженную на неотрицательную величину, т.е. мы получаем монотонно убывающую функцию с максимумом в точке (0;0). Очевидно, что попытка посчитать такую хрень не даст ничего хорошего – мат.ожидание выйдет отрицательным, т.е. прибор сломается проработав минус N секунд, т.е. ещё до включения.



Причём чем меньше вероятность отказа, тем раньше прибор сломается. В идеальном случае (при лямбда равной нулю) объект сломается сразу же (минус бесконечность) – вероятно, ещё на стадии его изобретения.
Как видим всё портит знак минус при производной. Очевидно, что минус указывает на характер первообразной – она убывает. Между тем, интегральная функция распределения убывать не может, т.к. это означает в нашем случае, что за, допустим, 10 минут сломается два объекта, за 20 минут – один, а если они будут работать 3 часа, то вообще все останутся целыми.
На самом деле, приведённая функция (как уже говорилось выше) – «функция распределения вероятности безотказной работы», т.е. функция надёжности, а отказ – функция с так сказать обратным ей по вероятности распределением.
Короче говоря, глава (учебника?) должна начинаться так:



Обратите внимание – моё вывод отталкивается от канонической формулы для экспоненциального распределения, но не противоречит безудержному потоку мыслей автора (единственное, в последнем слове ошибся).
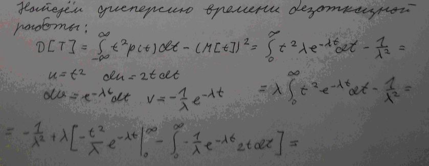
Теперь посчитать среднюю наработку просто:



Вернемся к «народному» сайту:



Проверяем:



Обе экспоненты улетают в ноль быстрее, чем их множители в бесконечность; -[0+0-1]=1; умножаем это на выставленный перед интегралом (а затем пределом) минус и получаем отрицательную дисперсию! Т.е. среднеквадратичное отклонение будет вообще комплексной величиной. Описать аналогиями явление «отрицательного рассеивания» я не в силах.
Меж тем автор, просто вписал верный ответ. Проблема кроется в той же ошибке, что и в первом случае – взята не та функция в качестве плотности.
Несмотря на формулировку «дисперсия времени безотказной работы», операция производится над функцией распределения вероятности отказа (которою автор так и не написал). Т.к. если «прибор работает 5 часов плюс/минус 30 минут», это тоже самое, что и «мат. ожидание поломки 5 часов, дисперсия 900 минут».
Поехали:






Самое занятное, что этот материал растиражирован в интернете.
В заключение: всё изложенное сугубо моё личное мнение, выражающее альтернативную трактовку реальности.
Авторы рассматриваемых материалов бесспорно молодцы, а автор заметки (impersonalis) так вообще - на «удовл.» сдал Теорию Вероятностей (и то с третей пересдачи), а всё туда же: решил выпендриться, смотрите мол «какой я умный».
Публикация материала только с указанием источника (данного сайта).

Хотелось бы выразить признательность Дяде Диме и его ночным посиделкам.
__________________
http://nabatchikov.com
Мир нужно делать лучше и чище. Иначе, зачем мы живем? tormoz
А я растила сына на преданьях
о принцах, троллях, потайных свиданьях,
погонях, похищениях невест.
Да кто же знал, что сказка душу съест?

Последний раз редактировалось impersonalis, 18.06.2009 в 23:14.
(Offline)
 
Ответить с цитированием
Эти 4 пользователя(ей) сказали Спасибо impersonalis за это полезное сообщение:
G.A.D (15.11.2009), Harter (29.10.2009), Hurrit (03.11.2009), SBJoker (10.06.2009)
Старый 10.06.2009, 19:07   #2
tormoz
Гигант индустрии
 
Аватар для tormoz
 
Регистрация: 14.12.2005
Сообщений: 2,785
Написано 1,183 полезных сообщений
(для 4,437 пользователей)
Ответ: ТеорВер

- Папа, а ты сичас с кем разговаривал ?
__________________
(Offline)
 
Ответить с цитированием
Эти 9 пользователя(ей) сказали Спасибо tormoz за это полезное сообщение:
ABTOMAT (10.06.2009), Android (10.06.2009), ARA (03.11.2009), Dzirt (15.06.2009), FDsagizi (11.06.2009), Lamb (10.06.2009), newman (11.06.2009), Phantom (10.06.2009), Randomize (11.06.2009)
Старый 10.06.2009, 22:31   #3
Lamb
Спящий разум
 
Регистрация: 08.03.2006
Сообщений: 784
Написано 89 полезных сообщений
(для 156 пользователей)
Ответ: ТеорВер

Ож ты ж ежик...
глас народного гнева прямо... вот только думаю к экзаменам катают не задумываясь, преподы ставят не вникая...
(Offline)
 
Ответить с цитированием
Старый 10.06.2009, 23:09   #4
jimon
 
Сообщений: n/a
Ответ: ТеорВер

а я думал там просто взятый в уме модуль
 
Ответить с цитированием
Старый 03.11.2009, 02:32   #5
Harter
Бывалый
 
Аватар для Harter
 
Регистрация: 03.11.2008
Адрес: Украина, Днепропетровск
Сообщений: 871
Написано 554 полезных сообщений
(для 2,520 пользователей)
Ответ: ТеорВер

Как же мне это нравится.
Пешиисчо(с)
(Offline)
 
Ответить с цитированием
Старый 03.11.2009, 17:20   #6
Hurrit
Мастер
 
Аватар для Hurrit
 
Регистрация: 27.01.2008
Адрес: Россия, СКФО, ЧР, Грозный
Сообщений: 1,144
Написано 578 полезных сообщений
(для 2,207 пользователей)
Ответ: ТеорВер

Хоть и оффтоп, но всё же. За пост импера несущий пользу, дали в два раза меньше "спасибо", чем за бесполезный пост тормоза (без обид тормоз, не пытался как то тебя унизить). Очень странно, очень...

Последний раз редактировалось Hurrit, 03.11.2009 в 17:25. Причина: Ошибся
(Offline)
 
Ответить с цитированием
Сообщение было полезно следующим пользователям:
ARA (03.11.2009)
Старый 03.11.2009, 19:07   #7
Harter
Бывалый
 
Аватар для Harter
 
Регистрация: 03.11.2008
Адрес: Украина, Днепропетровск
Сообщений: 871
Написано 554 полезных сообщений
(для 2,520 пользователей)
Ответ: ТеорВер

Сообщение от hgang Посмотреть сообщение
Хоть и оффтоп, но всё же. За пост импера несущий пользу, дали в два раза меньше "спасибо", чем за бесполезный пост тормоза (без обид тормоз, не пытался как то тебя унизить). Очень странно, очень...
Да нет - всё справедливо: аудитория не та.
Публиковать нужно было здесь.
(Offline)
 
Ответить с цитированием
Старый 10.12.2010, 16:22   #8
impersonalis
Зануда с интернетом
 
Аватар для impersonalis
 
Регистрация: 04.09.2005
Сообщений: 14,014
Написано 6,798 полезных сообщений
(для 20,935 пользователей)
Ответ: ТеорВер

Да-а-а: с пропавшими картинками статья выглядит ещё эффектней. Постараюсь поправить.
upd залил
Миниатюры
Нажмите на изображение для увеличения
Название: 1.jpg
Просмотров: 4705
Размер:	68.5 Кб
ID:	12071  Нажмите на изображение для увеличения
Название: 2.jpg
Просмотров: 4675
Размер:	82.1 Кб
ID:	12072  Нажмите на изображение для увеличения
Название: 3.jpg
Просмотров: 4565
Размер:	3.3 Кб
ID:	12073  Нажмите на изображение для увеличения
Название: 4.jpg
Просмотров: 4693
Размер:	2.3 Кб
ID:	12074  Нажмите на изображение для увеличения
Название: 5.jpg
Просмотров: 4658
Размер:	1.6 Кб
ID:	12075  

Нажмите на изображение для увеличения
Название: 6.jpg
Просмотров: 4646
Размер:	4.2 Кб
ID:	12076  Нажмите на изображение для увеличения
Название: 7.jpg
Просмотров: 4659
Размер:	51.1 Кб
ID:	12077  Нажмите на изображение для увеличения
Название: 8.jpg
Просмотров: 4750
Размер:	40.5 Кб
ID:	12078  Нажмите на изображение для увеличения
Название: 9.jpg
Просмотров: 4589
Размер:	87.4 Кб
ID:	12079  Нажмите на изображение для увеличения
Название: 10.jpg
Просмотров: 4658
Размер:	5.6 Кб
ID:	12080  

Нажмите на изображение для увеличения
Название: 11.jpg
Просмотров: 4789
Размер:	2.6 Кб
ID:	12081  Нажмите на изображение для увеличения
Название: 12.jpg
Просмотров: 4674
Размер:	30.9 Кб
ID:	12082  Нажмите на изображение для увеличения
Название: 13.jpg
Просмотров: 4694
Размер:	75.2 Кб
ID:	12083  
__________________
http://nabatchikov.com
Мир нужно делать лучше и чище. Иначе, зачем мы живем? tormoz
А я растила сына на преданьях
о принцах, троллях, потайных свиданьях,
погонях, похищениях невест.
Да кто же знал, что сказка душу съест?

Последний раз редактировалось impersonalis, 10.12.2010 в 21:42.
(Offline)
 
Ответить с цитированием
Сообщение было полезно следующим пользователям:
Harter (10.12.2010)
Ответ


Опции темы

Ваши права в разделе
Вы не можете создавать темы
Вы не можете отвечать на сообщения
Вы не можете прикреплять файлы
Вы не можете редактировать сообщения

BB коды Вкл.
Смайлы Вкл.
[IMG] код Вкл.
HTML код Выкл.

Похожие темы
Тема Автор Раздел Ответов Последнее сообщение
ТеорВер Reload impersonalis Поздравления и пожелания 1 01.09.2008 18:11


Часовой пояс GMT +4, время: 02:36.


vBulletin® Version 3.6.5.
Copyright ©2000 - 2026, Jelsoft Enterprises Ltd.
Перевод: zCarot
Style crйe par Allan - vBulletin-Ressources.com