Извините, ничего не найдено.

Не расстраивайся! Лучше выпей чайку!
Регистрация
Справка
Календарь

Вернуться   forum.boolean.name > Программирование в широком смысле слова > Математика

Математика Методы математического моделлирования, программирование математических концепций, роль математики в создании игр

Ответ
 
Опции темы
Старый 25.11.2011, 10:30   #1
HolyDel
 
Регистрация: 26.09.2006
Сообщений: 6,035
Написано 1,474 полезных сообщений
(для 2,707 пользователей)
как ево решить?

производную от x - ln(2+e^x + 2 sqrt(e^(2x) + e^x + 1))
?
(Offline)
 
Ответить с цитированием
Старый 25.11.2011, 14:29   #2
h1dd3n
Бывалый
 
Аватар для h1dd3n
 
Регистрация: 19.06.2008
Сообщений: 679
Написано 264 полезных сообщений
(для 450 пользователей)
Ответ: как ево решить?

http://nigma.ru/?s=%28x+-+ln%282%7E%...all&srt=0&sf=1
не думаю что есть простой способ. алгоритмы по которым решает нигма есть в инете.
__________________
(Offline)
 
Ответить с цитированием
Сообщение было полезно следующим пользователям:
HolyDel (25.11.2011)
Старый 25.11.2011, 21:59   #3
radiobutton
Бывалый
 
Регистрация: 16.09.2011
Сообщений: 863
Написано 257 полезных сообщений
(для 546 пользователей)
Ответ: как ево решить?

а производная от x разьве не 1 ?)
или там 1 в дробь внесен?

на самом деле эта штука очень легко решается, просто над прогуглить формулы производных от логаримфа, итд )
(Offline)
 
Ответить с цитированием
Старый 25.11.2011, 22:30   #4
Igor
Мастер
 
Аватар для Igor
 
Регистрация: 03.05.2010
Адрес: Подмосковье
Сообщений: 1,218
Написано 438 полезных сообщений
(для 790 пользователей)
Ответ: как ево решить?

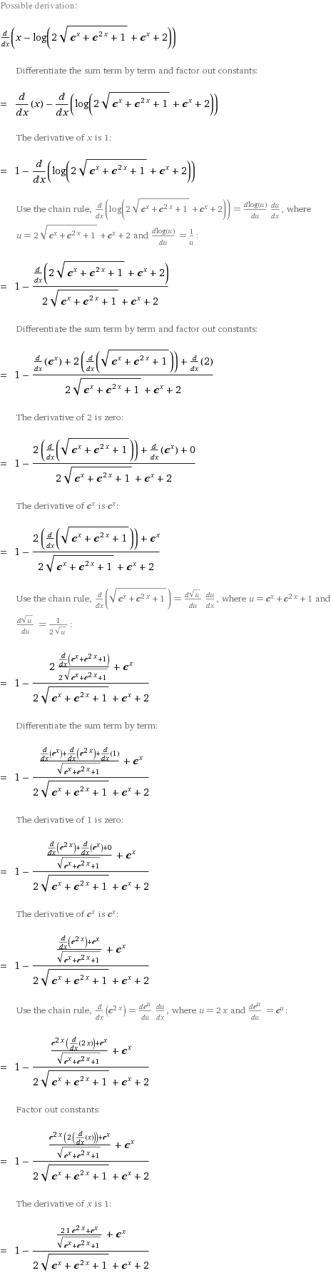
Вот два нереально трудных правила, достаточных для решения:
1)производная от внешней функции на производную внутренней
2)производная суммы функций - сумма производных

x-ln(2+e^x + 2 sqrt(e^(2x) + e^x + 1))

1-1/ {2+e^x + 2 sqrt(e^(2x) + e^x + 1))} * {e^x + 1/sqrt(e^(2x) + e^x + 1))* (2*e^(2x)+e^x ) }
P.S. Скобки { } для читабельности

P.P.S. для ленивых есть Wolfram Alpha
Миниатюры
Нажмите на изображение для увеличения
Название: MSP45819i5gde8ibdai96a000064ch3983167c9bg3.gif
Просмотров: 1488
Размер:	32.8 Кб
ID:	15579  
__________________
О¯О ¡¡¡ʁɔvʎнdǝʚǝdǝu dиW

Последний раз редактировалось Igor, 25.11.2011 в 23:49.
(Offline)
 
Ответить с цитированием
Сообщение было полезно следующим пользователям:
HolyDel (26.11.2011)
Ответ


Опции темы

Ваши права в разделе
Вы не можете создавать темы
Вы не можете отвечать на сообщения
Вы не можете прикреплять файлы
Вы не можете редактировать сообщения

BB коды Вкл.
Смайлы Вкл.
[IMG] код Вкл.
HTML код Выкл.


Часовой пояс GMT +4, время: 06:06.


vBulletin® Version 3.6.5.
Copyright ©2000 - 2026, Jelsoft Enterprises Ltd.
Перевод: zCarot
Style crйe par Allan - vBulletin-Ressources.com