 |
| Математика Методы математического моделлирования, программирование математических концепций, роль математики в создании игр |
22.04.2012, 19:34
|
#1
|
|
Зануда с интернетом
Регистрация: 04.09.2005
Сообщений: 14,014
Написано 6,798 полезных сообщений (для 20,935 пользователей)
|
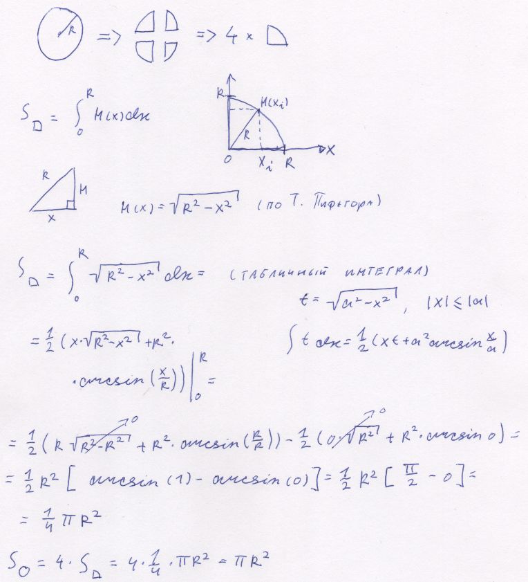
Формула площади
С удивлением обнаружил, что не все знают, как можно вывести формулу площади для большого разнообразия фигур, используя определённый интеграл.
Я просто оставлю это здесь. (Да, оказывается, формулы площади круга не все помнят.)
__________________
http://nabatchikov.com
Мир нужно делать лучше и чище. Иначе, зачем мы живем? tormoz
А я растила сына на преданьях
о принцах, троллях, потайных свиданьях,
погонях, похищениях невест.
Да кто же знал, что сказка душу съест?
|
|
(Offline)
|
|
|
Эти 4 пользователя(ей) сказали Спасибо impersonalis за это полезное сообщение:
|
|
23.04.2012, 01:26
|
#2
|
|
[object Object]
Регистрация: 01.08.2008
Адрес: В России
Сообщений: 4,374
Написано 2,478 полезных сообщений (для 6,866 пользователей)
|
Ответ: Формула площади
Без картинки вначале ничоб не понял
__________________
Retry, Abort, Ignore? █
Intel Core i7-9700 4.70 Ghz; 64Gb; Nvidia RTX 4090 3070
AMD Ryzen 7 3800X 4.3Ghz; 64Gb; Nvidia 1070Ti
AMD Ryzen 7 1700X 3.4Ghz; 8Gb; AMD RX 570
AMD Athlon II 2.6Ghz; 8Gb; Nvidia GTX 750 Ti
|
|
(Offline)
|
|
23.04.2012, 12:11
|
#3
|
|
Мастер
Регистрация: 03.05.2010
Адрес: Подмосковье
Сообщений: 1,218
Написано 438 полезных сообщений (для 790 пользователей)
|
Ответ: Формула площади
От себя - у объёмных фигур площадь поверхности связана (не всегда равна! У квадрата например) с производной от объёма.
А что, кто-то не помнит площадь круга?!
__________________
О¯О ¡¡¡ʁɔvʎнdǝʚǝdǝu dиW
|
|
(Offline)
|
|
23.04.2012, 12:48
|
#4
|
|
Ференька
Регистрация: 26.01.2007
Адрес: улица Пушкина дом Колотушкина
Сообщений: 10,743
Написано 5,461 полезных сообщений (для 15,676 пользователей)
|
Ответ: Формула площади
Сообщение от Igor
От себя - у объёмных фигур площадь поверхности связана (не всегда равна! У квадрата например) с производной от объёма.
А что, кто-то не помнит площадь круга?!
|
Я не помню! Я вообще не люблю помнить формулы, которые мне нужны раз в году. Гораздо лучше знать, откуда она взялась. А если не знаю - то смотрю в справочнике.
Можете кидаться помидорами.
__________________
Мои проекты:
Анальное Рабство
Зелёный Слоник
Дмитрий Маслов*
Различие**
Клюква**
* — в стадии разработки
** — в стадии проектирования
Для проектов в стадии проектирования приведены кодовые имена
|
|
(Offline)
|
|
|
Эти 6 пользователя(ей) сказали Спасибо ABTOMAT за это полезное сообщение:
|
|
23.04.2012, 12:56
|
#5
|
|
[object Object]
Регистрация: 01.08.2008
Адрес: В России
Сообщений: 4,374
Написано 2,478 полезных сообщений (для 6,866 пользователей)
|
Ответ: Формула площади
Сообщение от ABTOMAT
Я не помню! Я вообще не люблю помнить формулы, которые мне нужны раз в году. Гораздо лучше знать, откуда она взялась. А если не знаю - то смотрю в справочнике.
Можете кидаться помидорами.
|
А я подбираю/сочиняю формулы, готовьте помидоры оптом.
__________________
Retry, Abort, Ignore? █
Intel Core i7-9700 4.70 Ghz; 64Gb; Nvidia RTX 4090 3070
AMD Ryzen 7 3800X 4.3Ghz; 64Gb; Nvidia 1070Ti
AMD Ryzen 7 1700X 3.4Ghz; 8Gb; AMD RX 570
AMD Athlon II 2.6Ghz; 8Gb; Nvidia GTX 750 Ti
|
|
(Offline)
|
|
|
Эти 3 пользователя(ей) сказали Спасибо Randomize за это полезное сообщение:
|
|
23.04.2012, 18:51
|
#6
|
|
Элита
Регистрация: 16.01.2008
Сообщений: 1,800
Написано 958 полезных сообщений (для 3,833 пользователей)
|
Ответ: Формула площади
Я вообще не пльзуюсь формулами....использую только Goto в любых ситуациях...че там про помидоры?
|
|
(Offline)
|
|
|
Эти 3 пользователя(ей) сказали Спасибо Dzirt за это полезное сообщение:
|
|
24.04.2012, 04:26
|
#7
|
|
Элита
Регистрация: 14.06.2008
Адрес: Украина, Киев
Сообщений: 2,273
Написано 754 полезных сообщений (для 1,833 пользователей)
|
Ответ: Формула площади
Площадь? Не, не слышали. 
|
|
(Offline)
|
|
|
Эти 2 пользователя(ей) сказали Спасибо Phantom за это полезное сообщение:
|
|
24.04.2012, 14:26
|
#8
|
|
Бывалый
Регистрация: 16.09.2009
Адрес: Sun system
Сообщений: 831
Написано 442 полезных сообщений (для 1,836 пользователей)
|
Ответ: Формула площади
А я каждый день пользуюсь площадью.
Там удобная остановка.
|
|
(Offline)
|
|
|
Эти 7 пользователя(ей) сказали Спасибо FireOwl за это полезное сообщение:
|
|
23.06.2012, 02:05
|
#9
|
|
Зануда с интернетом
Регистрация: 04.09.2005
Сообщений: 14,014
Написано 6,798 полезных сообщений (для 20,935 пользователей)
|
Ответ: Формула площади
Сообщение от Igor
От себя - у объёмных фигур площадь поверхности связана (не всегда равна! У квадрата например) с производной от объёма.
|
с чего бы?
Vcube(h)=a*a*h
S=V`cube(h)=a*a
__________________
http://nabatchikov.com
Мир нужно делать лучше и чище. Иначе, зачем мы живем? tormoz
А я растила сына на преданьях
о принцах, троллях, потайных свиданьях,
погонях, похищениях невест.
Да кто же знал, что сказка душу съест?
|
|
(Offline)
|
|
23.06.2012, 14:53
|
#10
|
|
Мастер
Регистрация: 03.05.2010
Адрес: Подмосковье
Сообщений: 1,218
Написано 438 полезных сообщений (для 790 пользователей)
|
Ответ: Формула площади
У тебя какой-то подозрительный куб с неравными сторонами.
Если сторона "а", то объём a^3, производная 3*a^2, а площадь поверхности в два раза больше - 6*a^2.
__________________
О¯О ¡¡¡ʁɔvʎнdǝʚǝdǝu dиW
|
|
(Offline)
|
|
|
Сообщение было полезно следующим пользователям:
|
|
23.06.2012, 17:45
|
#11
|
|
Зануда с интернетом
Регистрация: 04.09.2005
Сообщений: 14,014
Написано 6,798 полезных сообщений (для 20,935 пользователей)
|
Ответ: Формула площади
Сообщение от Igor
У тебя какой-то подозрительный куб с неравными сторонами.
Если сторона "а", то объём a^3, производная 3*a^2, а площадь поверхности в два раза больше - 6*a^2.
|
"Ставим" куб на плоскость, фиксируя тем самым его поверхность (ахтунг: здесь и выше подразумевалась ГРАНЬ), площадь которой мы будем считать. Объём параллелепипеда V(h)=a*a*h. Для куба это эквивалентно V(a)=a*a*a=a^3. Верно можно утверждать, что производная от объёма равна площади грани*. V`(h)=a*a=a^2. Площадь квадрата, действительно a^2.
Общая площадь поверхности, из соображений симметрии, кол-во граней * a^2= 6*a^2
При всё уважении чел, ты немного напутал в алгоритме. Объём в общем случае - функция от трёх переменных, чтобы получить площадь основания (одной грани, площадь поверхности = сумма площадей всех граней) надо дифференцировать по измерению (т.е. брать частную производную), перпендикулярному этому основанию, т.е. по высоте. А ты дифференцируешь по ребру. Иными словами, ты нашёл закономерность: как прирастает объём куба на единицу увеличения его ребра.
Действительно:
объём куба с ребром
2: v=2*2*2=8
3: v=3*3*3=27
Проверим: разность v(3,3,3)-v(2,2,2)=27-8=19
Используя твою формулу:
интеграл( 3*a^2;[2;3])=(3*a^3 / 3;[2;3])=
=(a^3;[2;3])=3^3-2^3=27-8=19
чтд
Ну это ничего страшного, попадаются случаи, когда вычисляют объём, а потом берут производную от константы, получая ноль.
* на самом деле должен быть соблюдён ряд требований к функциям (в частности, это должны быть функции - одна координата в соответствие к двум другим), описывающим закономерности сторон в координатах, иначе придётся разбивать фигуру на примитивы (как я разбил круг на сектора в первом посте) или принимать меры другого рода.
__________________
http://nabatchikov.com
Мир нужно делать лучше и чище. Иначе, зачем мы живем? tormoz
А я растила сына на преданьях
о принцах, троллях, потайных свиданьях,
погонях, похищениях невест.
Да кто же знал, что сказка душу съест?
|
|
(Offline)
|
|
Ваши права в разделе
|
Вы не можете создавать темы
Вы не можете отвечать на сообщения
Вы не можете прикреплять файлы
Вы не можете редактировать сообщения
HTML код Выкл.
|
|
|
Часовой пояс GMT +4, время: 22:51.
|