Незарегистрированный
Наш телеграм (тут все твои друзья)
X
Кэшированная версия
Извините, ничего не найдено.
Не расстраивайся! Лучше выпей чайку!
forum.boolean.name
>
Программирование в широком смысле слова
>
Математика
Доказание неравенств методом математической индукции
Имя
Запомнить?
Пароль
Математика
Методы математического моделлирования, программирование математических концепций, роль математики в создании игр
Опции темы
07.09.2008, 13:43
#
1
jimon
Сообщений: n/a
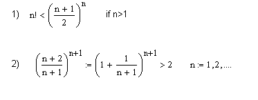
Доказание неравенств методом математической индукции
нужно доказать первое неравенство для n>1, используя второе неравенство
помогите пожалуйста
завтра здавать такие однотипные задачи на матане
Миниатюры
jimon
07.09.2008, 15:06
#
2
dimanche13
Мастер
Регистрация: 19.03.2007
Сообщений: 1,039
Написано 153 полезных сообщений
(для 252 пользователей)
Всего наград 1
Ответ: Доказание неравенств методом математической индукции
сочуствую
__________________
(Offline)
dimanche13
Посмотреть профиль
Найти ещё сообщения от dimanche13
07.09.2008, 15:13
#
3
jimon
Сообщений: n/a
Ответ: Доказание неравенств методом математической индукции
благодаря помощи
Matt Merkulov
вопрос в большей части закрыт
jimon
07.09.2008, 15:52
#
4
impersonalis
Зануда с интернетом
Регистрация: 04.09.2005
Сообщений: 14,014
Написано 6,798 полезных сообщений
(для 20,935 пользователей)
Ответ: Доказание неравенств методом математической индукции
нннууу вооот
__________________
http://nabatchikov.com
Мир нужно делать лучше и чище. Иначе, зачем мы живем?
tormoz
А я растила сына на преданьях
о принцах, троллях, потайных свиданьях,
погонях, похищениях невест.
Да кто же знал, что сказка душу съест?
(Offline)
impersonalis
Посмотреть профиль
Найти ещё сообщения от impersonalis
«
Предыдущая тема
|
Следующая тема
»
Опции темы
Версия для печати
Отправить по электронной почте
Ваши права в разделе
Вы
не можете
создавать темы
Вы
не можете
отвечать на сообщения
Вы
не можете
прикреплять файлы
Вы
не можете
редактировать сообщения
BB коды
Вкл.
Смайлы
Вкл.
[IMG]
код
Вкл.
HTML код
Выкл.
Похожие темы
Тема
Автор
Раздел
Ответов
Последнее сообщение
Проблема с ортографической проекцией
darkand
3D-программирование
14
14.07.2008
01:53
Математический парсер, ДЛЛ.
Zidane
Библиотеки
4
14.05.2007
14:23
Математические приколы
jimon
Юмор
5
29.10.2006
00:33
Часовой пояс GMT +4, время:
19:48
.
vBulletin® Version 3.6.5.
Copyright ©2000 - 2026, Jelsoft Enterprises Ltd.
Перевод:
zCarot
Style crйe par
Allan
-
vBulletin-Ressources.com
Обратная связь
-
Форум портала www.boolean.name
-
Вверх