Извините, ничего не найдено.

Не расстраивайся! Лучше выпей чайку!
Регистрация
Справка
Календарь

Вернуться   forum.boolean.name > Программирование в широком смысле слова > Математика

Математика Методы математического моделлирования, программирование математических концепций, роль математики в создании игр

Ответ
 
Опции темы
Старый 07.01.2009, 18:32   #1
impersonalis
Зануда с интернетом
 
Аватар для impersonalis
 
Регистрация: 04.09.2005
Сообщений: 14,014
Написано 6,798 полезных сообщений
(для 20,935 пользователей)
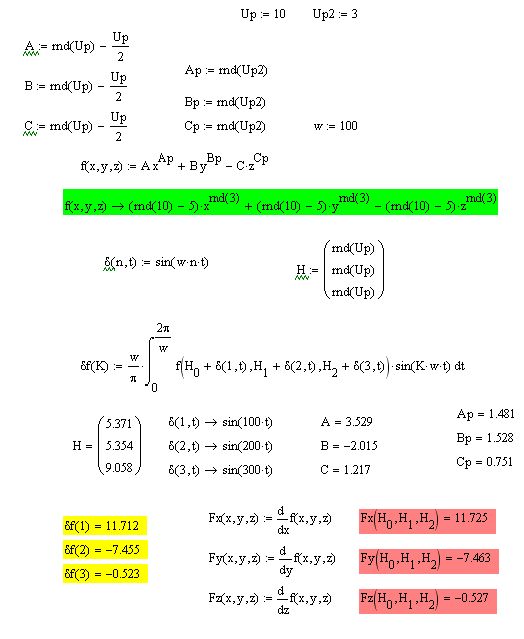
Синхронное детектирование

Начну издалека:
МНЕ НАДОЕЛО, ЧТО В НЕТЕ НЕТ НИ ОДНОГО адекватного документа, где показано практическое (но не физическое) применение этого метода. А потому каждый раз когда этот популярный метод попадается на эказмене - препод поддевает тебя и валит с лучшей оценки.
Пришлось разбираться.
Итак предположим, что есть функция чёрный-ящик (серый?) мы о ней ничего не знаем, но можем замерить её выход.
Теперь - у нас есть возможность влиять на функцию при помощи параметров, которые тоже, "как-то" входят в её структуры. Для того, чтобы с течением времени привести в автоматчиеском режиме выход функции для произвольного (практически ограниченного) набора входных парметров в конкретную точку (окрестность), нам надо построить модель чувствительности - набор (матрицу) функций чувствительности - частных производных от функции по параметрам.
Очевидно, что экстравагантный спосбо здачи функции не позволяет вывести производные аналитически.
На помощь нам приходит набор ортогональных функций (в примере - это синусойды с разной частотой).
Далее - всё алгоритмически чётко.
Зелёным выделена наша функция - как видим: рандом на рандоме. Зададим произвольные начальные условия - вектор значений H.
Теперь воспользовавшись св-ом интеграла для произведения ортогональных функций вычислим методом синхронного детектирования значения частных производных (жёлтый) и сравним их с аналитическим значением (красный).
Миниатюры
Нажмите на изображение для увеличения
Название: синхронное детектирование.jpg
Просмотров: 1433
Размер:	46.0 Кб
ID:	5166  
__________________
http://nabatchikov.com
Мир нужно делать лучше и чище. Иначе, зачем мы живем? tormoz
А я растила сына на преданьях
о принцах, троллях, потайных свиданьях,
погонях, похищениях невест.
Да кто же знал, что сказка душу съест?

Последний раз редактировалось impersonalis, 07.01.2009 в 18:44.
(Offline)
 
Ответить с цитированием
Старый 07.01.2009, 18:36   #2
dimanche13
Мастер
 
Регистрация: 19.03.2007
Сообщений: 1,039
Написано 153 полезных сообщений
(для 252 пользователей)
Ответ: Синхронное детектирование

ты это с кем сейчас говорил
__________________
(Offline)
 
Ответить с цитированием
Эти 3 пользователя(ей) сказали Спасибо dimanche13 за это полезное сообщение:
impersonalis (07.01.2009), Phantom (08.01.2009), Randomize (11.06.2009)
Старый 07.01.2009, 18:42   #3
jimon
 
Сообщений: n/a
Ответ: Синхронное детектирование

страшна !
 
Ответить с цитированием
Сообщение было полезно следующим пользователям:
impersonalis (07.01.2009)
Старый 07.01.2009, 18:53   #4
alcoSHoLiK
Дэвелопер
 
Регистрация: 17.01.2006
Сообщений: 1,512
Написано 78 полезных сообщений
(для 110 пользователей)
Ответ: Синхронное детектирование

Вариация на тему аппроксимации функций. Это суть метода синхронного детектирования? Не совсем понятно.
(Offline)
 
Ответить с цитированием
Сообщение было полезно следующим пользователям:
impersonalis (07.01.2009)
Старый 07.01.2009, 22:53   #5
impersonalis
Зануда с интернетом
 
Аватар для impersonalis
 
Регистрация: 04.09.2005
Сообщений: 14,014
Написано 6,798 полезных сообщений
(для 20,935 пользователей)
Ответ: Синхронное детектирование

Это способ получения приближённого значения градиента. Просто приведна мат.модель, а он используется на практике во всевозможных системах управления.
__________________
http://nabatchikov.com
Мир нужно делать лучше и чище. Иначе, зачем мы живем? tormoz
А я растила сына на преданьях
о принцах, троллях, потайных свиданьях,
погонях, похищениях невест.
Да кто же знал, что сказка душу съест?
(Offline)
 
Ответить с цитированием
Ответ


Опции темы

Ваши права в разделе
Вы не можете создавать темы
Вы не можете отвечать на сообщения
Вы не можете прикреплять файлы
Вы не можете редактировать сообщения

BB коды Вкл.
Смайлы Вкл.
[IMG] код Вкл.
HTML код Выкл.


Часовой пояс GMT +4, время: 21:17.


vBulletin® Version 3.6.5.
Copyright ©2000 - 2026, Jelsoft Enterprises Ltd.
Перевод: zCarot
Style crйe par Allan - vBulletin-Ressources.com