 |
| Загадки Постим и отгадываем загадки. Флуд запрещён - только условия и обсуждение решений. |
22.07.2012, 19:29
|
#1
|
|
Зануда с интернетом
Регистрация: 04.09.2005
Сообщений: 14,014
Написано 6,798 полезных сообщений (для 20,935 пользователей)
|
ЕГЭ цистерны и бидоны
Вступление
Недавно alex-mad рассказал задачу (из образцов ЕГЭ):
|
В цилиндрический сосуд радиуса R1 наливают некоторый объём жидкости. Уровень жидкости (высота) = H1. Затем это объём переливают в сосуд с радиусом R2=2*R1. Как изменится высота жидкости?
|
Сама задача элементарна. Закономерность, лежащая в основе, многократно обыграна (см., например, "The Canterbury puzles and other curious problems" Henry E. Dudeney).
v1=v2; v=pi*(r^2)*h;
pi*h1*(r^2)=pi*h2*((2*r)^2)
h1*r^2=h2*4*r^2
h1=4*h2
Ответ: высота уменьшится в 4 раза.
alex-mad так же заметил, что в задаче подразумевается, но не указана явно ориентация сосуда (а-ля бидон). Действительно, если представить сосуд а-ля ж\д цистерна, то задача становится менее унылой. Мы быстренько прикинули решение.
Предлагаю вам попробовать:
Задача
В цистерну, поперечное сечение которой представляет собой окружность с радиусом R1, наливают некоторый объём жидкости. Жидкость занимает уровень H1 (измеренный от самой низкорасположенной точки цистерны). Затем этот объём переливают в цистерну с радиусом сечения R2=2*R1. Какой уровень H2 займёт жидкость в новой ёмкости? Считается, что вместимость "новой" цистерны позволяет принять данный объём жидкости.
__________________
http://nabatchikov.com
Мир нужно делать лучше и чище. Иначе, зачем мы живем? tormoz
А я растила сына на преданьях
о принцах, троллях, потайных свиданьях,
погонях, похищениях невест.
Да кто же знал, что сказка душу съест?
|
|
(Offline)
|
|
22.07.2012, 20:29
|
#2
|
|
|
Ответ: ЕГЭ цистерны и бидоны
аналитическая часть решения
высота сегмента с углом a, h = r(1-cos(a/2))
площадь сегмента с углом a, s = (r^2(a - sin(a)))/2
1) v1 = v2
2) l * s1 = l * s2 (l - длина цистерн, считаем равной)
3) (r^2(a - sin(a)))/2 = (4*r^2(a2 - sin(a2)))/2
4) (a2 - sin(a2)) = 4 * (a - sin(a))
численная часть решения :
ps. а вот нефиг давать задачу на R2 = 2 * R1 если результат зависит от абсолютного значения R1
|
|
|
|
|
Сообщение было полезно следующим пользователям:
|
|
22.07.2012, 20:37
|
#3
|
|
scientist.alien
Регистрация: 12.02.2007
Сообщений: 2,098
Написано 1,030 полезных сообщений (для 2,593 пользователей)
|
Ответ: ЕГЭ цистерны и бидоны
Ещё можно припомнить, что в задачке не указано, одинакова ли длина цистерн. Если нет - то ещё веселее.
|
|
(Offline)
|
|
|
Сообщение было полезно следующим пользователям:
|
|
22.07.2012, 20:59
|
#4
|
|
Зануда с интернетом
Регистрация: 04.09.2005
Сообщений: 14,014
Написано 6,798 полезных сообщений (для 20,935 пользователей)
|
Ответ: ЕГЭ цистерны и бидоны
Сообщение от jimon
ps. а вот нефиг давать задачу на R2 = 2 * R1 если результат зависит от абсолютного значения R1
|
Никто не говорил, что нельзя использовать конструкции if (кусочно-заданная функция)
Сообщение от Taugeshtu
Ещё можно припомнить, что в задачке не указано, одинакова ли длина цистерн. Если нет - то ещё веселее.
|
Действительно - моя ошибка. Длины одинаковы
__________________
http://nabatchikov.com
Мир нужно делать лучше и чище. Иначе, зачем мы живем? tormoz
А я растила сына на преданьях
о принцах, троллях, потайных свиданьях,
погонях, похищениях невест.
Да кто же знал, что сказка душу съест?
|
|
(Offline)
|
|
22.07.2012, 21:36
|
#5
|
|
|
Ответ: ЕГЭ цистерны и бидоны
Сообщение от impersonalis
Никто не говорил, что нельзя использовать конструкции if (кусочно-заданная функция)
|
судя по всему там выходят совсем не линейные зависимости отношения h2\h1 от абсолютной величины изначального радиуса  (те еще одна степень свободы системы)
|
|
|
|
|
Сообщение было полезно следующим пользователям:
|
|
22.07.2012, 21:39
|
#6
|
|
Зануда с интернетом
Регистрация: 04.09.2005
Сообщений: 14,014
Написано 6,798 полезных сообщений (для 20,935 пользователей)
|
Ответ: ЕГЭ цистерны и бидоны
Сообщение от jimon
судя по всему там выходят совсем не линейные зависимости отношения h2\h1 от абсолютной величины изначального радиуса 
|
в точку.
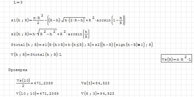
Вот какую связь между объёмом, радиусом и высотой жидкости (L=const) я вывел (в записи я использовал жаргонизм в виде type cast "bool->int", но CAS его слопал):

в SMathStudio
Я сильно сомневаюсь, что задачу можно решить аналитически в таком виде.
__________________
http://nabatchikov.com
Мир нужно делать лучше и чище. Иначе, зачем мы живем? tormoz
А я растила сына на преданьях
о принцах, троллях, потайных свиданьях,
погонях, похищениях невест.
Да кто же знал, что сказка душу съест?
Последний раз редактировалось impersonalis, 22.07.2012 в 23:12.
|
|
(Offline)
|
|
28.07.2012, 02:54
|
#7
|
|
Бывалый
Регистрация: 16.09.2011
Сообщений: 863
Написано 257 полезных сообщений (для 546 пользователей)
|
Ответ: ЕГЭ цистерны и бидоны
извените за тупость, а что изменилось в задаче ? xD
|
|
(Offline)
|
|
28.07.2012, 11:32
|
#8
|
|
Дэвелопер
Регистрация: 13.02.2010
Сообщений: 1,645
Написано 620 полезных сообщений (для 2,419 пользователей)
|
Ответ: ЕГЭ цистерны и бидоны
Сообщение от radiobutton
извените за тупость, а что изменилось в задаче ? xD
|
условие
|
|
(Offline)
|
|
28.07.2012, 15:18
|
#9
|
|
Бывалый
Регистрация: 16.09.2009
Адрес: Sun system
Сообщений: 831
Написано 442 полезных сообщений (для 1,836 пользователей)
|
Ответ: ЕГЭ цистерны и бидоны
"Бидон" - вертикальный цилиндр.
"Цистерна" - цилиндр лежащий на боку.
|
|
(Offline)
|
|
|
Сообщение было полезно следующим пользователям:
|
|
Ваши права в разделе
|
Вы не можете создавать темы
Вы не можете отвечать на сообщения
Вы не можете прикреплять файлы
Вы не можете редактировать сообщения
HTML код Выкл.
|
|
|
Часовой пояс GMT +4, время: 21:16.
|